5.4 Exercises Geometry Answers

Copying Straight And Curved Lines Activity Sheets Ablls R S5 And S6 Activity Sheets Curved Lines Types Of Lines


Rd Sharma Solutions Class 6 Maths Chapter 8 Introduction To Algebra Exercise 8 2 Class 6 Maths Math Algebra

Geometry Exam Review 5 1 5 4 Youtube

Rd Sharma Solutions Class 6 Maths Chapter 1 Knowing Our Numbers Exercise 1 6 Class 6 Maths Class 6 Math

Maths In Hindi Medium In 2021 Class 12 Maths Math Examples 12th Maths

Adamjee Coaching Factorization Hcf Lcm Simplification And Square Roots Definitions And Formulae Mathematics Mathematics Notes Mathematics Math Methods

Rd Sharma Solutions Class 6 Maths Chapter 1 Knowing Our Numbers Exercise 1 3 Class 6 Maths Class 6 Math

Ncert Solutions For Class 6 Maths Whole Numbers Class 6 Maths Class 6 Math

Ncert Solutions Class 10 Maths Exercise 5 4 Math Exercises Math Arithmetic Progression
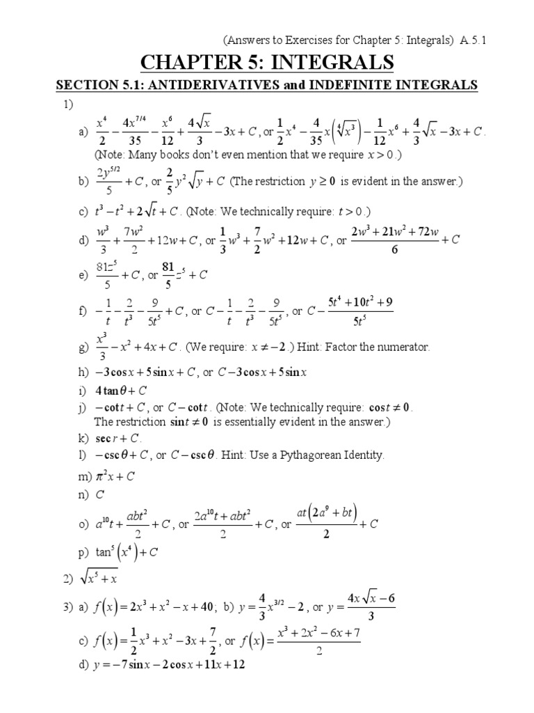
Answers To Exercises For Chapter 5 Integrals Integral Theoretical Physics

Https Www Tiwariacademy Com Ncert Solutions Class 6 Maths Chapter 14 Class 6 Maths Math Words

Pin On Ncert Solutions For Class 6 Maths

Equilateral And Isosceles Triangles Big Ideas Math 5 4 Equilateral And Isosceles Triangles 251 5 4 Writing A Conjecture About Isosceles Triangles Work With A Partner Pqr Is

Lesson Practice A Medians And Altitudes Of 5 3 Practice A Medians And Altitudes Of Triangles Fill In The Blanks To Complete Each Definition 1 A Median Of A Triangle Is A Segment

Ncert Solutions For Class 10 Maths Exercise 2 2 Question 1 Iv V Vi Math Exercises Class 10 Math

Ncert Solutions For Class 10 Maths Chapter 8 Introduction To Trigonometry Learn Cbse Class 10 Trigonometry Math

Pin By Rajesh Ia On Math Class 6 Maths Class 6 Mathematics Worksheets

Rd Sharma Solutions Class 6 Maths Chapter 1 Knowing Our Numbers Exercise 1 6 Class 6 Maths Class 6 Math


0 comments:
Post a Comment